Popularne tematy
#
Bonk Eco continues to show strength amid $USELESS rally
#
Pump.fun to raise $1B token sale, traders speculating on airdrop
#
Boop.Fun leading the way with a new launchpad on Solana.
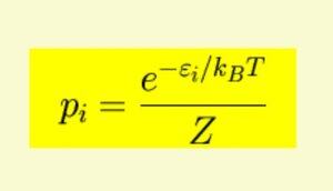
Rozkład Gibbsa przypisuje prawdopodobieństwa proporcjonalne do exp(−E(x)/T), łącząc losowość z krajobrazem energetycznym. W prawdopodobieństwie definiuje pola losowe Markowa i systemy równowagi. W ML napędza modele oparte na energii, maszyny Boltzmanna oraz metody próbkowania, takie jak próbkowanie Gibbsa. W życiu codziennym pojawia się w fizyce statystycznej, modelach ruchu i tłumów oraz procesach decyzyjnych, gdzie wybory podążają za szumowymi preferencjami.

Najlepsze
Ranking
Ulubione

