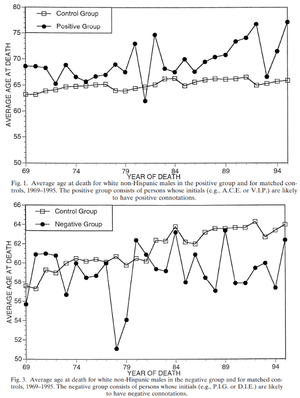
Чоловіки з позитивними ініціалами живуть на 4,5 роки довше, тоді як негативні ініціали скорочують життя на 3 роки.